sul mondo dello sport
Tanto materiale da scaricare sul mondo dello sport giovanile! Buona visione!
Alcuni articoli importanti che mettono in evidenza il progetto nato in Islanda ad inizio anni 90.
Andrea Scekic espone brevemente e in modo esauriente motivi e curiosità inedite per ciò che riguarda questo problema in ambito sportivo. Aggiungo io che la gravità del problema è resa ancor più grande dagli operatori sportivi che troviamo in ambito sportivo nelle fasce d'età che vanno dai 5 anni ai 14 anni. Oserei dire dalla nascita ai 14 anni ! Perchè ? Perchè abbiamo un vuoto incredibile di motricità dal primo anno di vita al quinto anno. Anche in ambito natatorio che dovrebbe essere di primaria importanza! La maggior parte delle società parla abbondantemente di tecnica , tattica e muscolazione emarginando la parte psicopedagogica che dovrebbe trovarsi in cima alla scala degli interessi d'insegnamento con pargoli e preadolescenti.
Perche' porterebbe grande Beneficio? Piu' gioia... piu' gratificazione... piu' gente attiva pedagogicamente... piu' salute e meno malattie... meno problemi con la giustizia e meno utilizzo di ospedali e di farmaci di ogni genere... meno fumatori, meno di tante cose negative. Trope cose in meno che non credo facciano piacere a chi ha potere.
Origini e sviluppo del progetto.
Attività nell'anno solare : neve-ghiaccio, acqua e...- sport individuali e di squadra.
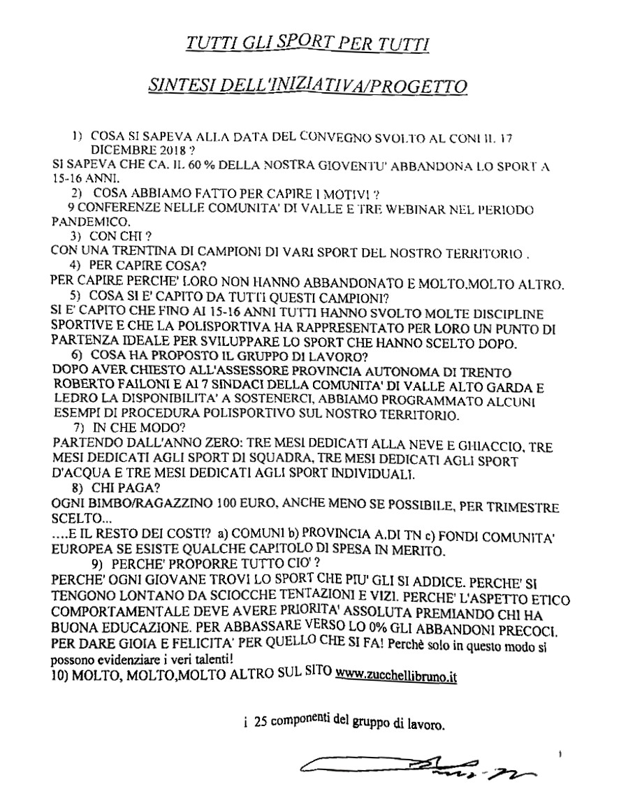
Sintesi del progetto sportivo-motorio.
Altre passioni che abbiamo inserito nel progetto " Tutti gli sport per tutti e... ". Questa parte andrà integrata e perfezionata .
Questo doc. mette in evidenza i vari momenti di sviluppo dal 17 dicembre 2018.
Nel file si considerano alcune proposte ricevute dagli addetti ai lavori. Ad ogni incontro con le societa' sportive si raccolgono indicazioni utili per la realizzazione del progetto.
Partendo dall'origine dell'idea nata il 17 dicembre 2018, continuata a Trigoria-Roma con Francesco Totti ( dialogando e considerando il suo libro, soprattutto la prima parte dove narra di come dovrebbe veramente giocare libero un bimbo/ragazzino) e perfezionata con la collaborazione di Torgler Giorgio e Giuliano Beltrami, spiego in dettaglio tutti i passi effettuati sin qui. Nota: Francesco Totti, dopo tutto quello che ho visto in 38 anni di Federcalcio, dovrebbe essere a capo di tutta l'attività giovanile Italiana , unitamente a M. Viscidi, D. Tacchini , S. Bonaccorso e...ve lo dirò in seguito... Con molti " missionari " sul territorio VALIDI che siano controllati soprattutto!